Skip to content
Sarishabari PourashavaSarishabari Pourashava
  • আবেদন পত্র
  • প্রচ্ছদ
  • পৌর পরিষদ
    • প্রশাসক
    • পৌর নির্বাহী কর্মকর্তা
    • কাউন্সিলর(সংরক্ষিত আসন)
    • প্রাক্তন চেয়ারম্যান/প্রশাসকগন এর তথ্য
  • পৌরসভার কাঠামো
    • পৌরসভার সংক্ষিপ্ত বিবরনী
    • ওয়ার্ড পরিচিতি এবং লোক সংখ্যা
    • পৌরসভার কার্যাবলী
    • পৌরসভার মিশন
    • পৌরসভার সাংগঠনিক কাঠামো
    • ভৌত কাঠামো
    • মালামাল ও যানবাহন কাঠামো
  • প্রকৌশল বিভাগ
    • উন্নয়নমূলক কাজের তথ্য
    • কর্মকর্তা / কর্মচারী
    • নকসা অনুমোদনের জন্য কাগজ/দলিলাদি
    • পানি সরবরাহ ও পয়ঃনিষ্কাশন শাখা
    • পূর্ত,বিদ্যুৎ ও যান্ত্রিক শাখা
    • রাস্তা ও ড্রেন কাটার দর
    • শহর পরিকল্পনা বিভাগ
    • টেন্ডার
  • প্রশাসন বিভাগ
    • কর্মকর্তা / কর্মচারী
    • এসেসমেন্ট শাখা
    • কর আদায়
    • পৌর বাজার শাখা
  • স্বাস্থ্য বিভাগ
    • সরকারী কর্মচারী
    • স্বাস্থ্য বিষয়ক তথ্য
    • পরিচ্ছন্নতা শাখা
    • পরিবার পরিকল্পনা শাখা
  • আবেদন পত্র
    • জন্ম সনদের আবেদন
    • মৃত্যু সনদের আবেদন
    • ট্রেড লাইসেন্স /অন্যান্য সব লাইসেন্স এর আবেদন পত্র
    • ওয়ারিশিয়ান সনদপত্র
    • জাতীয়তা / নাগরিক সনদপত্র
    • বয়স্ক, বিধবা, প্রতিবন্ধী ভাতা আবেদন
    • গৃহ -সংযোগের আবেদন
    • গৃহ নির্মান/পুন: নির্মান আবেদন পত্র
    • পুনঃগৃহ-সংযোগ/সংযোগের ব্যাস পরিবর্তনের জন্য আবেদনপত্র
    • রাস্তা ও ড্রেন কাটার অনুমতির আবেদন
  • তথ্য ভান্ডার
    • পৌরসভার অবকাঠামোগত বিষয়ক তথ্য
    • ওয়ার্ড সমন্বয় কমিটি
    • কর্মকর্তা/কর্মচারীগণের প্রশিক্ষণ বিষয়ক তথ্য
    • বাজেট
  • নাগরিক সেবা
    • সরিষাবাড়ী পৌরসভা
    • সরিষাবাড়ী থানা
    • উপজেলা প্রসাশন
    • হাসপাতাল ও ক্লিনিকের নম্বর
    • এলজিইডি এর গুরত্বপূর্ন নম্বর সমুহ
    • বিআরটিএ এর নম্বর ও ঠিকানা
    • বাসের সময়সূচী
    • ট্রেন এর সময়সূচী
    • পৌরসভাধীন স্কুল কলেজের তথ্য
    • বিভিন্ন বাংকের নম্বর
  • খবর
    • নোটিশ বোর্ড
    • গ্যালারি
  • যোগাযোগ
  • আবেদন পত্র
  • Login
খবর, নোটিশ বোর্ড

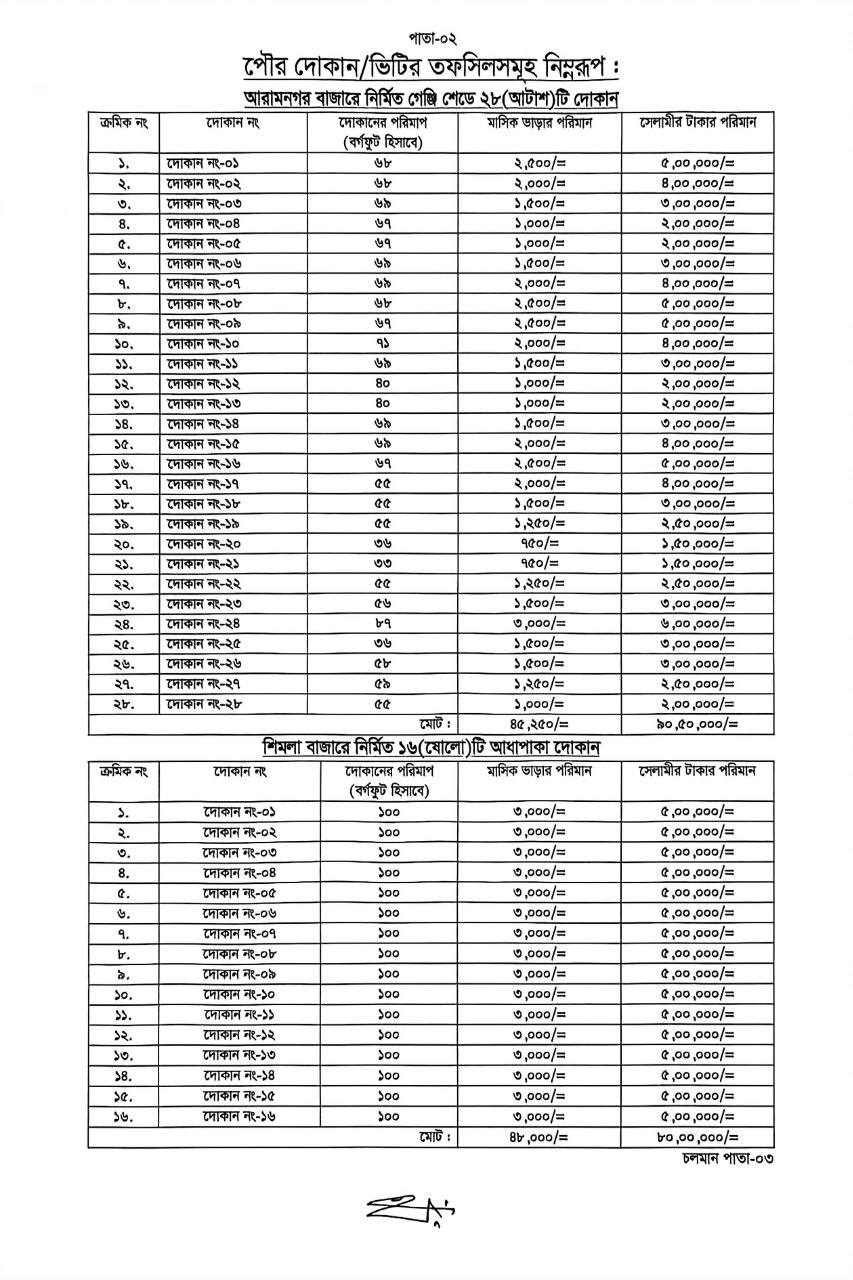
দোকান / ভিটি বরাদ্দের বিজ্ঞপ্তি নং- ০১/২০২৫-২০২৬ ইং অর্থ-বছর

This entry was posted in খবর, নোটিশ বোর্ড. Bookmark the permalink.
হালানাগাদকৃত সম্পুরক ভোটার তালিকার খসড়া প্রকাশ এবং চুড়ান্তকরণের সময়সূচি প্রসঙ্গে, বিজ্ঞপ্তি।
গনভোট- ২০২৬ সংসদ নির্বাচন।
সাম্প্রতিক পোস্ট
  • 19
    Feb
    হাট-বাজার, কুলঘাট ও গন-মৌচাগার ইজারার দরপত্র বিজ্ঞপ্তি (বাংলা ১৪৩৩ সন) ০১/২০২৬-২০২৭ ইং Comments Off on হাট-বাজার, কুলঘাট ও গন-মৌচাগার ইজারার দরপত্র বিজ্ঞপ্তি (বাংলা ১৪৩৩ সন) ০১/২০২৬-২০২৭ ইং
  • 08
    Jan
    গনভোট- ২০২৬ সংসদ নির্বাচন। Comments Off on গনভোট- ২০২৬ সংসদ নির্বাচন।
  • 16
    Sep
    দোকান / ভিটি বরাদ্দের বিজ্ঞপ্তি নং- ০১/২০২৫-২০২৬ ইং অর্থ-বছর Comments Off on দোকান / ভিটি বরাদ্দের বিজ্ঞপ্তি নং- ০১/২০২৫-২০২৬ ইং অর্থ-বছর
  • 11
    Aug
    হালানাগাদকৃত সম্পুরক ভোটার তালিকার খসড়া প্রকাশ এবং চুড়ান্তকরণের সময়সূচি প্রসঙ্গে, বিজ্ঞপ্তি। Comments Off on হালানাগাদকৃত সম্পুরক ভোটার তালিকার খসড়া প্রকাশ এবং চুড়ান্তকরণের সময়সূচি প্রসঙ্গে, বিজ্ঞপ্তি।
  • 28
    Jul
    টেন্ডার এর নোটিশ Comments Off on টেন্ডার এর নোটিশ
পোস্ট ক্যাটাগরি
  • খবর
  • টেন্ডার
  • নোটিশ বোর্ড
আর্কাইভ
  • February 2026
  • January 2026
  • September 2025
  • August 2025
  • July 2025
  • June 2025
  • February 2025
  • January 2025
  • August 2024
  • October 2023
  • July 2014
  • August 2013
  • July 2013
Sarishabari-Pourashava-Website-Logo
সরিষাবাড়ী পৌরসভা বাংলাদেশের ময়মনসিংহ বিভাগের জামালপুর জেলার সরিষাবাড়ী উপজেলার অন্তর্গত একটি পৌরসভা। ...বিস্তারিত

স্বাস্থ্য তথ্য

স্বাস্থ্য বিভাগ
স্বাস্থ্য বিষয়ক তথ্য
পরিবার পরিকল্পনা শাখা
সরকারী / কর্মচারী

আবেদন পত্র

জন্ম সনদের আবেদন
মৃত্যু সনদের আবেদন
ট্রেড লাইন্সের আবেদন
ওয়ারিশিয়ান সনদপত্র

গুরুত্বপূর্ণ ওয়েবসাইট লিংক

স্থানীয় সরকার বিভাগ
পল্লী উন্নয়ন ও সমবায় বিভাগ
জাতীয় তথ্য বাতায়ন
জন্ম ও মৃত্যু নিবন্ধন

প্রশাসন বিভাগ

কর্মকর্তা / কর্মচারী
এসেসমেন্ট শাখা
কর আদায়
পৌর বাজার শাখা
Sarishabari
11:54 am, Apr 19, 2026
temperature icon 29°C
73 %
1007 mb
8 mph
Clouds: 2%
Sunrise: 5:35 am
Sunset: 6:24 pm
Copyright 2026 © Sarishabari Pourashava
  • প্রচ্ছদ
  • পৌর পরিষদ
    • প্রশাসক
    • পৌর নির্বাহী কর্মকর্তা
    • কাউন্সিলর(সংরক্ষিত আসন)
    • প্রাক্তন চেয়ারম্যান/প্রশাসকগন এর তথ্য
  • পৌরসভার কাঠামো
    • পৌরসভার সংক্ষিপ্ত বিবরনী
    • ওয়ার্ড পরিচিতি এবং লোক সংখ্যা
    • পৌরসভার কার্যাবলী
    • পৌরসভার মিশন
    • পৌরসভার সাংগঠনিক কাঠামো
    • ভৌত কাঠামো
    • মালামাল ও যানবাহন কাঠামো
  • প্রকৌশল বিভাগ
    • উন্নয়নমূলক কাজের তথ্য
    • কর্মকর্তা / কর্মচারী
    • নকসা অনুমোদনের জন্য কাগজ/দলিলাদি
    • পানি সরবরাহ ও পয়ঃনিষ্কাশন শাখা
    • পূর্ত,বিদ্যুৎ ও যান্ত্রিক শাখা
    • রাস্তা ও ড্রেন কাটার দর
    • শহর পরিকল্পনা বিভাগ
    • টেন্ডার
  • প্রশাসন বিভাগ
    • কর্মকর্তা / কর্মচারী
    • এসেসমেন্ট শাখা
    • কর আদায়
    • পৌর বাজার শাখা
  • স্বাস্থ্য বিভাগ
    • সরকারী কর্মচারী
    • স্বাস্থ্য বিষয়ক তথ্য
    • পরিচ্ছন্নতা শাখা
    • পরিবার পরিকল্পনা শাখা
  • আবেদন পত্র
    • জন্ম সনদের আবেদন
    • মৃত্যু সনদের আবেদন
    • ট্রেড লাইসেন্স /অন্যান্য সব লাইসেন্স এর আবেদন পত্র
    • ওয়ারিশিয়ান সনদপত্র
    • জাতীয়তা / নাগরিক সনদপত্র
    • বয়স্ক, বিধবা, প্রতিবন্ধী ভাতা আবেদন
    • গৃহ -সংযোগের আবেদন
    • গৃহ নির্মান/পুন: নির্মান আবেদন পত্র
    • পুনঃগৃহ-সংযোগ/সংযোগের ব্যাস পরিবর্তনের জন্য আবেদনপত্র
    • রাস্তা ও ড্রেন কাটার অনুমতির আবেদন
  • তথ্য ভান্ডার
    • পৌরসভার অবকাঠামোগত বিষয়ক তথ্য
    • ওয়ার্ড সমন্বয় কমিটি
    • কর্মকর্তা/কর্মচারীগণের প্রশিক্ষণ বিষয়ক তথ্য
    • বাজেট
  • নাগরিক সেবা
    • সরিষাবাড়ী পৌরসভা
    • সরিষাবাড়ী থানা
    • উপজেলা প্রসাশন
    • হাসপাতাল ও ক্লিনিকের নম্বর
    • এলজিইডি এর গুরত্বপূর্ন নম্বর সমুহ
    • বিআরটিএ এর নম্বর ও ঠিকানা
    • বাসের সময়সূচী
    • ট্রেন এর সময়সূচী
    • পৌরসভাধীন স্কুল কলেজের তথ্য
    • বিভিন্ন বাংকের নম্বর
  • খবর
    • নোটিশ বোর্ড
    • গ্যালারি
  • যোগাযোগ